Официальное опубликование правовых актов
ОФИЦИАЛЬНОЕ ОПУБЛИКОВАНИЕ
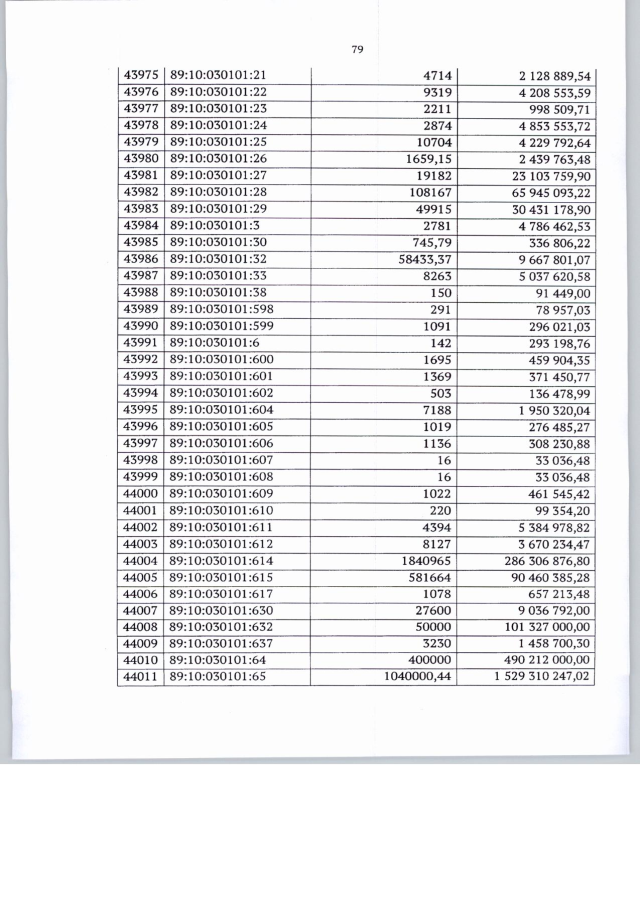
Приказ Департамента имущественных отношений Ямало-Ненецкого автономного округа от 22.07.2020 № 4-О
"О внесении изменений в приложение, утвержденное приказом департамента имущественных отношений Ямало-Ненецкого автономного округа от 01 ноября 2019 года № 3-О"
(Зарегистрирован 24.07.2020 № 325)
Номер опубликования: 8901202007270001
Дата опубликования: 27.07.2020
Страница №80 из 82:
Увеличить