Официальное опубликование правовых актов
ОФИЦИАЛЬНОЕ ОПУБЛИКОВАНИЕ
Приказ Департамента строительства и жилищной политики Ямало-Ненецкого автономного округа от 12.02.2019 № 33
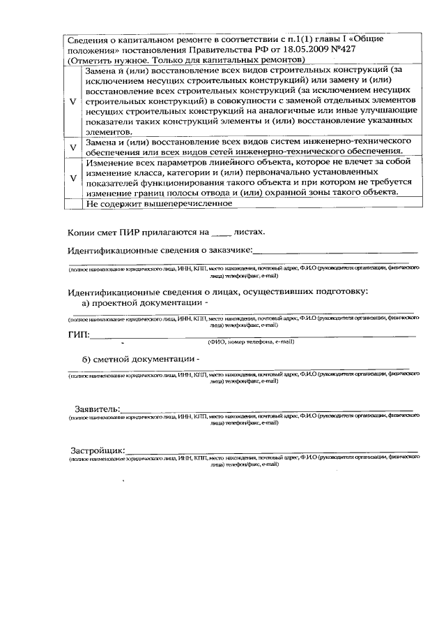
"Об утверждении Административного регламента предоставления автономным учреждением Ямало-Ненецкого автономного округа "Управление государственной экспертизы проектной документации" государственной услуги "Проведение проверки достоверности определения сметной стоимости объектов капитального строительства"
(Зарегистрирован 15.02.2019 № 112)
Номер опубликования: 8901201902150004
Дата опубликования: 15.02.2019
Страница №39 из 42:
Увеличить