Официальное опубликование правовых актов
ОФИЦИАЛЬНОЕ ОПУБЛИКОВАНИЕ
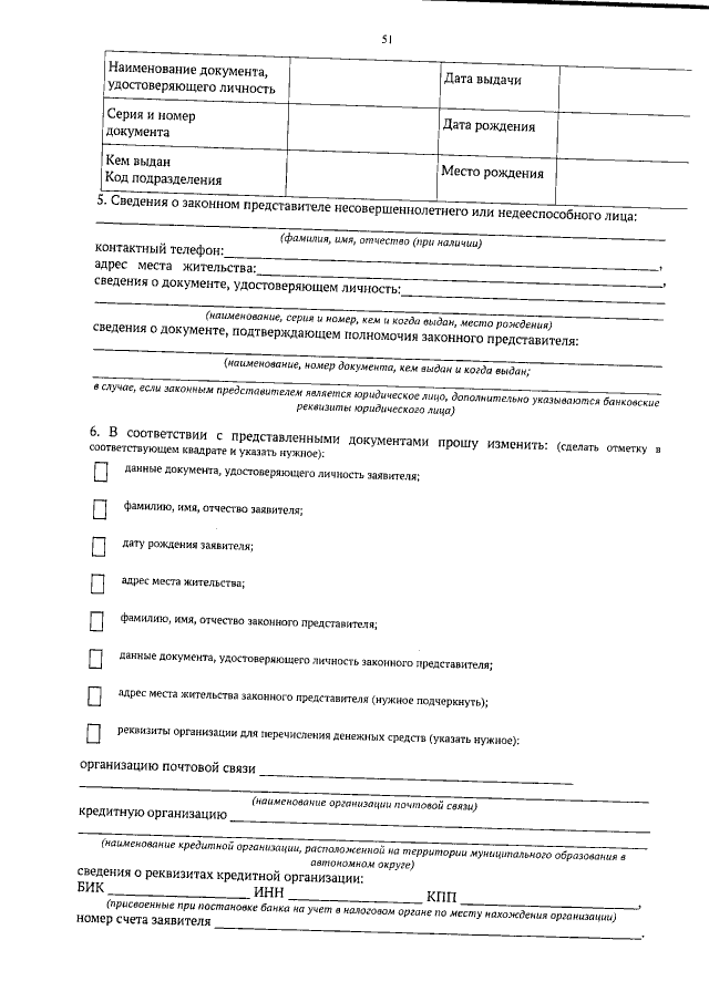
Приказ Департамента социальной защиты населения Ямало-Ненецкого автономного округа от 25.01.2019 № 10-ОД
"Об утверждении Административного регламента департамента социальной защиты населения Ямало-Ненецкого автономного округа по предоставлению государственной услуги "Оказание материальной помощи к датам истории"
(Зарегистрирован 29.01.2019 № 45)
Номер опубликования: 8901201901290002
Дата опубликования: 29.01.2019
Страница №52 из 54:
Увеличить