Официальное опубликование правовых актов
ОФИЦИАЛЬНОЕ ОПУБЛИКОВАНИЕ
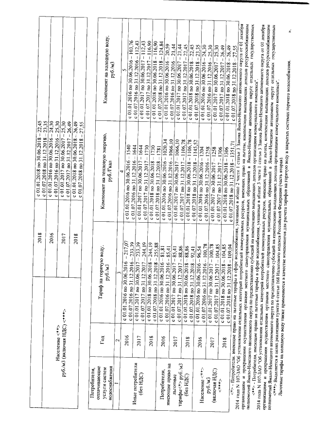
Приказ Департамента тарифной политики, энергетики и жилищно-коммунального комплекса Ямало-Ненецкого автономного округа от 11.12.2017 № 266-т
"О внесении изменения в приложение № 1 к приказу департамента тарифной политики, энергетики и жилищно-коммунального комплекса Ямало-Ненецкого автономного округа от 03 декабря 2015 года № 156-т"
(Зарегистрирован 13.12.2017 № 511)
Номер опубликования: 8901201712140088
Дата опубликования: 14.12.2017
Страница №3 из 3:
Увеличить