Официальное опубликование правовых актов
ОФИЦИАЛЬНОЕ ОПУБЛИКОВАНИЕ
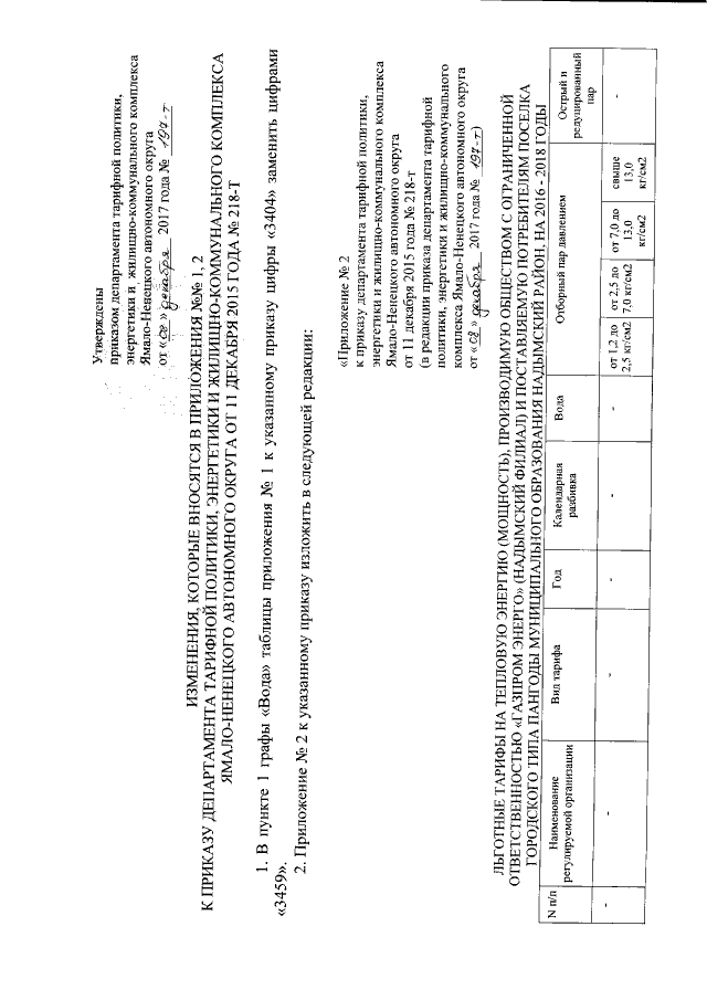
Приказ Департамента тарифной политики, энергетики и жилищно-коммунального комплекса Ямало-Ненецкого автономного округа от 08.12.2017 № 197-т
"О внесении изменений в приложения №№ 1, 2 к приказу департамента тарифной политики, энергетики и жилищно-коммунального комплекса Ямало-Ненецкого автономного округа от 11 декабря 2015 года № 218-т"
(Зарегистрирован 12.12.2017 № 442)
Номер опубликования: 8901201712140082
Дата опубликования: 14.12.2017
Страница №2 из 4:
Увеличить