Официальное опубликование правовых актов
ОФИЦИАЛЬНОЕ ОПУБЛИКОВАНИЕ
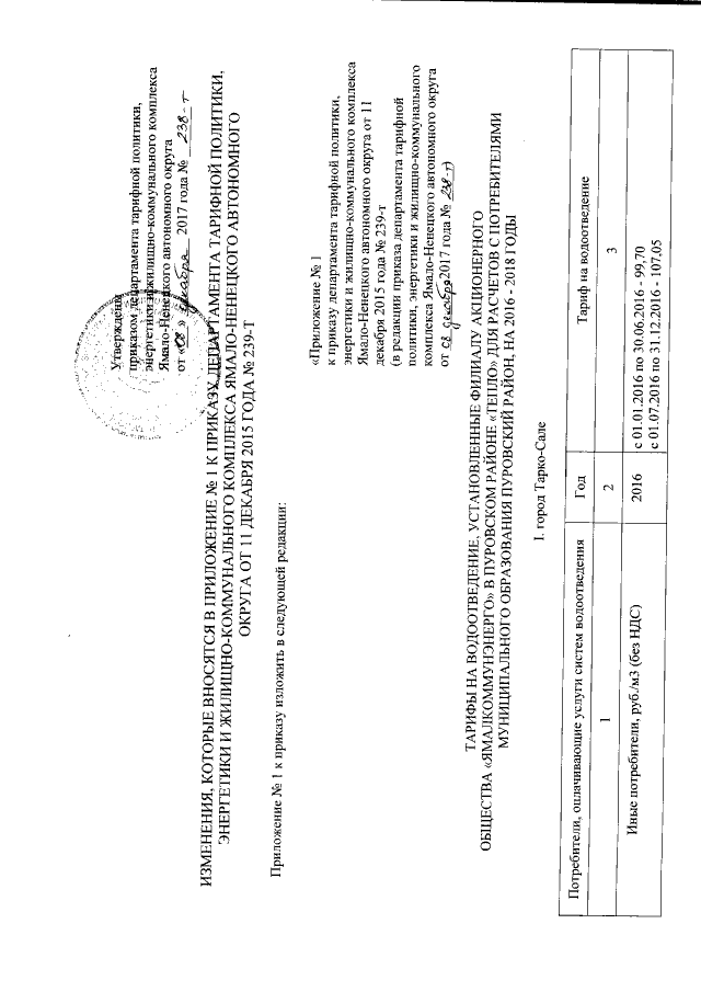
Приказ Департамента тарифной политики, энергетики и жилищно-коммунального комплекса Ямало-Ненецкого автономного округа от 08.12.2017 № 238-т
"О внесении изменений в приложение № 1 к приказу департамента тарифной политики, энергетики и жилищно-коммунального комплекса Ямало-Ненецкого автономного округа от 11 декабря 2015 года № 239-т"
(Зарегистрирован 12.12.2017 № 483)
Номер опубликования: 8901201712140068
Дата опубликования: 14.12.2017
Страница №2 из 8:
Увеличить