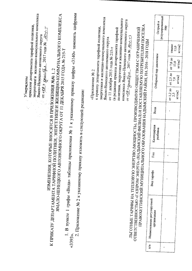
Приказ Департамента тарифной политики, энергетики и жилищно-коммунального комплекса Ямало-Ненецкого автономного округа от 08.12.2017 № 204-т
"О внесении изменений в приложения №№ 1, 2 к приказу департамента тарифной политики, энергетики и жилищно-коммунального комплекса Ямало-Ненецкого автономного округа от 11 декабря 2015 года № 215-т"
(Зарегистрирован 12.12.2017 № 449)
"О внесении изменений в приложения №№ 1, 2 к приказу департамента тарифной политики, энергетики и жилищно-коммунального комплекса Ямало-Ненецкого автономного округа от 11 декабря 2015 года № 215-т"
(Зарегистрирован 12.12.2017 № 449)
Номер опубликования: 8901201712140024
Дата опубликования:
14.12.2017
