Официальное опубликование правовых актов
ОФИЦИАЛЬНОЕ ОПУБЛИКОВАНИЕ
Постановление Правительства Ямало-Ненецкого автономного округа от 17.10.2025 № 552-П
"О внесении изменений в региональную программу "Снижение доли населения с доходами ниже границы бедности"
Номер опубликования: 8900202510210001
Дата опубликования: 21.10.2025
Страница №72 из 72:
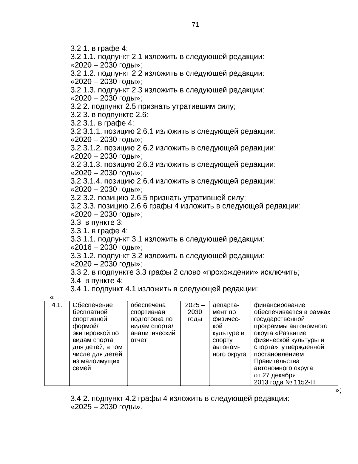
Увеличить