Официальное опубликование правовых актов
ОФИЦИАЛЬНОЕ ОПУБЛИКОВАНИЕ
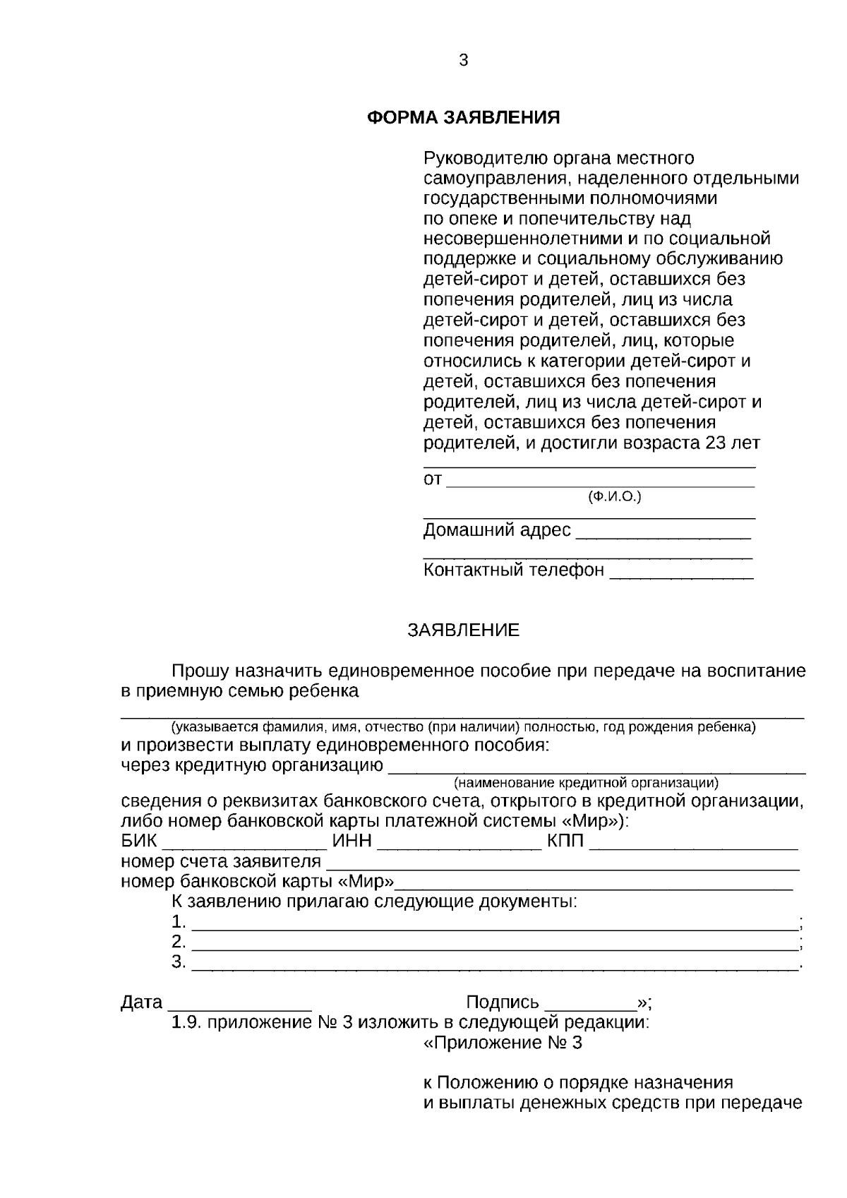
Постановление Правительства Ямало-Ненецкого автономного округа от 25.08.2025 № 465-П
"О внесении изменений в некоторые нормативные правовые акты Ямало-Ненецкого автономного округа"
Номер опубликования: 8900202509010004
Дата опубликования: 01.09.2025
Страница №4 из 39:
Увеличить