Официальное опубликование правовых актов
ОФИЦИАЛЬНОЕ ОПУБЛИКОВАНИЕ
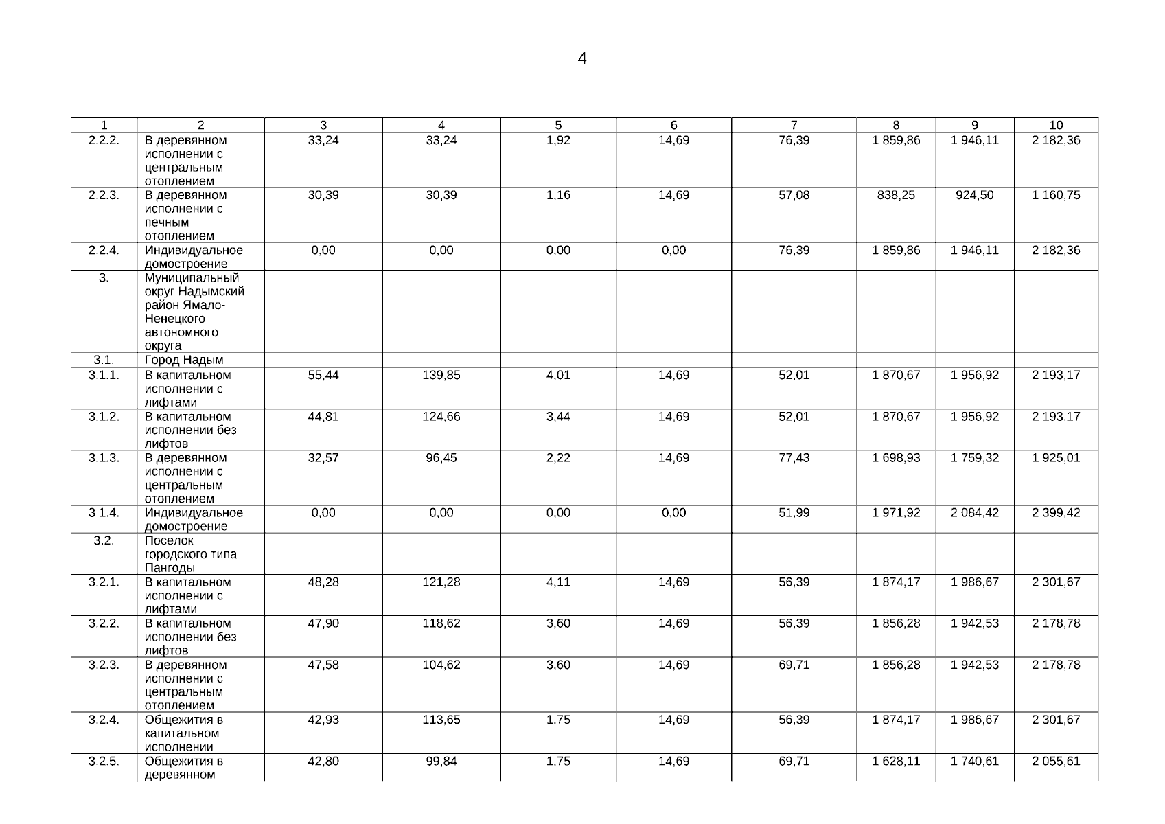
Постановление Правительства Ямало-Ненецкого автономного округа от 06.03.2025 № 126-П
"О внесении изменения в окружные стандарты стоимости жилищных и коммунальных услуг по Ямало-Ненецкому автономному округу, используемые для расчета жилищно-коммунальной выплаты отдельным категориям граждан"
Номер опубликования: 8900202503070003
Дата опубликования: 07.03.2025
Страница №5 из 22:
Увеличить