Официальное опубликование правовых актов
ОФИЦИАЛЬНОЕ ОПУБЛИКОВАНИЕ
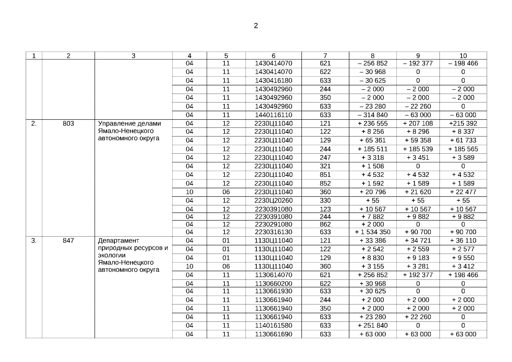
Постановление Правительства Ямало-Ненецкого автономного округа от 28.02.2025 № 110-П
"О перераспределении бюджетных ассигнований окружного бюджета на 2025 год и на плановый период 2026 и 2027 годов, внесении изменений в некоторые нормативные правовые акты Ямало-Ненецкого автономного округа и признании утратившими силу некоторых постановлений Правительства Ямало-Ненецкого автономного округа"
Номер опубликования: 8900202503030003
Дата опубликования: 03.03.2025
Страница №7 из 85:
Увеличить