Официальное опубликование правовых актов
ОФИЦИАЛЬНОЕ ОПУБЛИКОВАНИЕ
Постановление Правительства Ямало-Ненецкого автономного округа от 20.12.2024 № 732-П
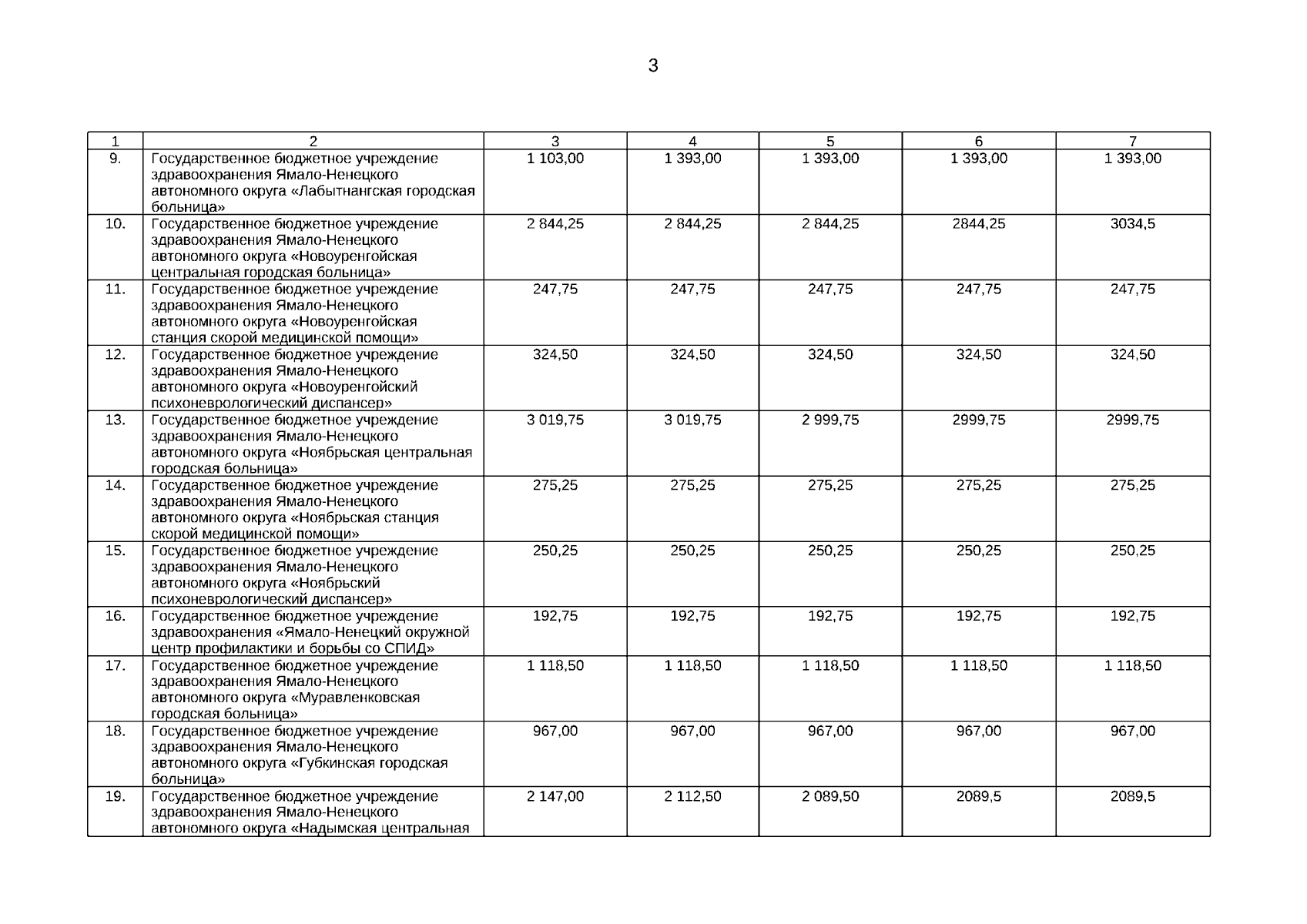
"Об изменении предельной штатной численности государственных учреждений, подведомственных департаменту здравоохранения Ямало-Ненецкого автономного округа, и внесении изменения в предельную штатную численность работников государственных учреждений, подведомственных департаменту здравоохранения Ямало-Ненецкого автономного округа"
Номер опубликования: 8900202412260003
Дата опубликования: 26.12.2024
Страница №5 из 6:
Увеличить