Официальное опубликование правовых актов
ОФИЦИАЛЬНОЕ ОПУБЛИКОВАНИЕ
Постановление Правительства Ямало-Ненецкого автономного округа от 30.08.2024 № 476-П
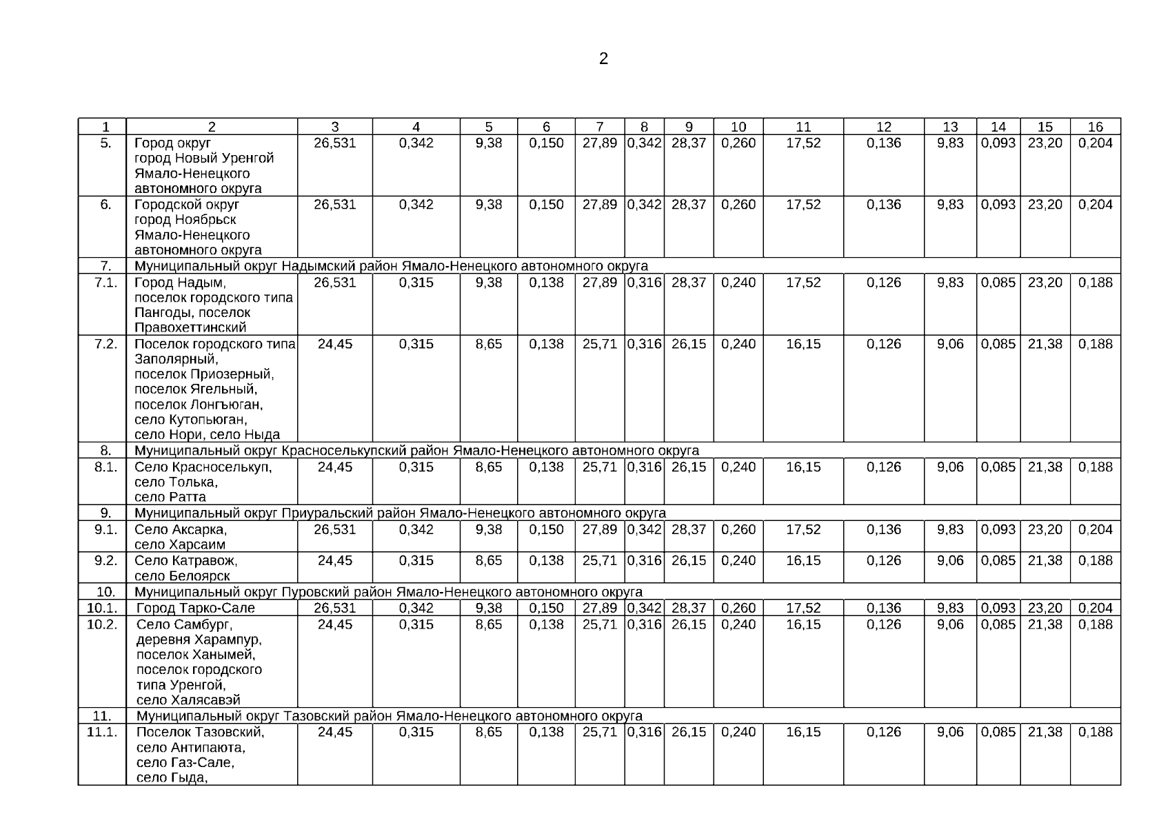
"Об утверждении нормативов накопления твердых коммунальных отходов для предприятий торговли и предприятий общественного питания в Ямало-Ненецком автономном округе и внесении изменения в нормативы накопления твердых коммунальных отходов для объектов общественного значения, расположенных на территории Ямало-Ненецкого автономного округа"
Номер опубликования: 8900202409040004
Дата опубликования: 04.09.2024
Страница №3 из 4:
Увеличить