Официальное опубликование правовых актов
ОФИЦИАЛЬНОЕ ОПУБЛИКОВАНИЕ
Постановление Губернатора Ямало-Ненецкого автономного округа от 16.05.2023 № 43-ПГ
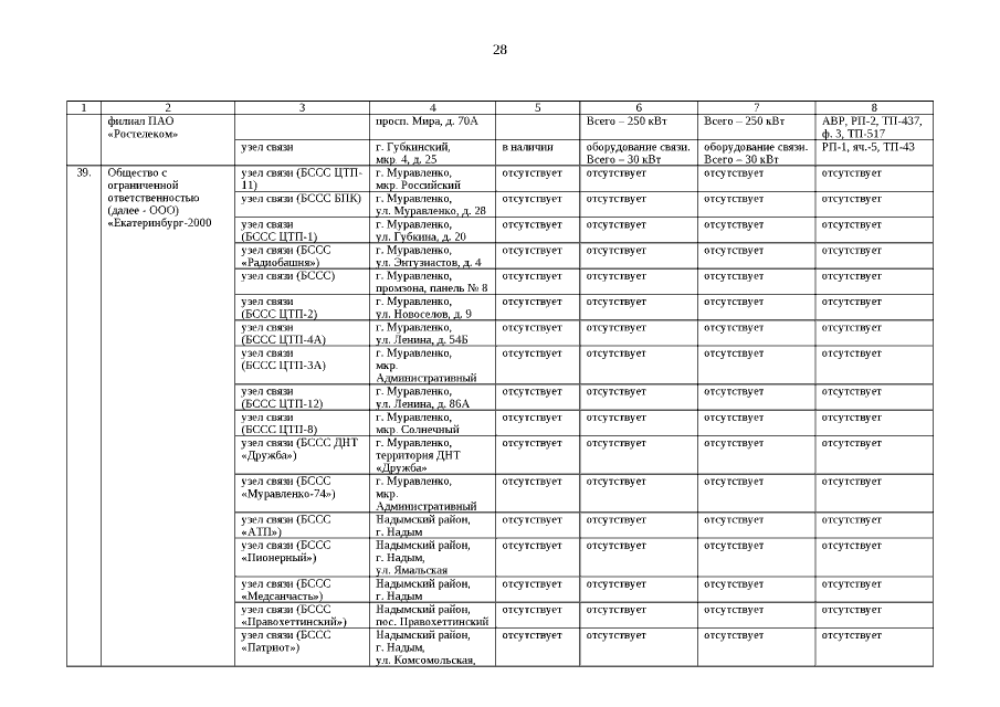
"Об утверждении перечня потребителей электрической энергии (мощности), ограничение режима потребления электрической энергии которых может привести к экономическим, экологическим, социальным последствиям на территории Ямало-Ненецкого автономного округа, на период 2023 – 2024 годов"
Номер опубликования: 8900202305170001
Дата опубликования: 17.05.2023
Страница №29 из 77:
Увеличить