Официальное опубликование правовых актов
ОФИЦИАЛЬНОЕ ОПУБЛИКОВАНИЕ
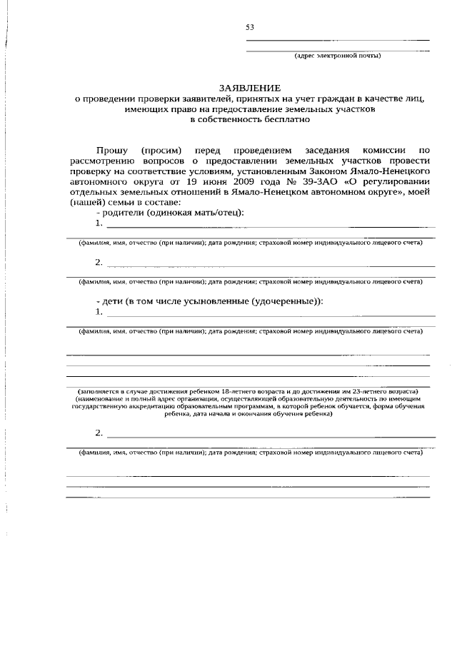
Постановление Правительства Ямало-Ненецкого автономного округа от 30.06.2022 № 652-П
"О внесении изменений в некоторые постановления Правительства Ямало-Ненецкого автономного округа в сфере земельных отношений"
Номер опубликования: 8900202207040002
Дата опубликования: 04.07.2022
Страница №54 из 107:
Увеличить