Официальное опубликование правовых актов
ОФИЦИАЛЬНОЕ ОПУБЛИКОВАНИЕ
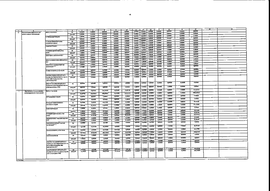
Постановление Губернатора Ямало-Ненецкого автономного округа от 29.10.2021 № 148-ПГ
"О внесении изменений в Комплексную региональную программу газификации жилищно-коммунального хозяйства, промышленных и иных организаций на территории Ямало-Ненецкого автономного округа на 2020 - 2024 годы"
Номер опубликования: 8900202111030018
Дата опубликования: 03.11.2021
Страница №49 из 104:
Увеличить