Официальное опубликование правовых актов
ОФИЦИАЛЬНОЕ ОПУБЛИКОВАНИЕ
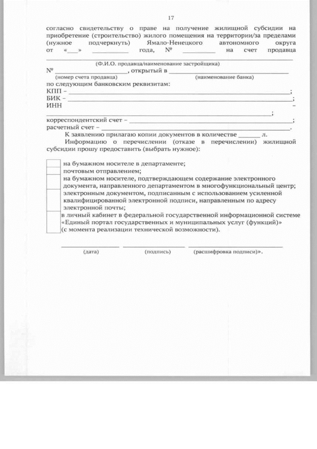
Постановление Правительства Ямало-Ненецкого автономного округа от 15.04.2021 № 289-П
"О внесении изменений в некоторые постановления Правительства Ямало-Ненецкого автономного округа"
Номер опубликования: 8900202104160002
Дата опубликования: 16.04.2021
Страница №18 из 18:
Увеличить