Официальное опубликование правовых актов
ОФИЦИАЛЬНОЕ ОПУБЛИКОВАНИЕ
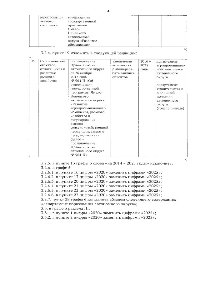
Распоряжение Правительства Ямало-Ненецкого автономного округа от 25.02.2021 № 61-РП
"О внесении изменений в распоряжение Правительства Ямало-Ненецкого автономного округа от 14 октября 2016 года № 858-РП"
Номер опубликования: 8900202103010007
Дата опубликования: 01.03.2021
Страница №5 из 5:
Увеличить