Официальное опубликование правовых актов
ОФИЦИАЛЬНОЕ ОПУБЛИКОВАНИЕ
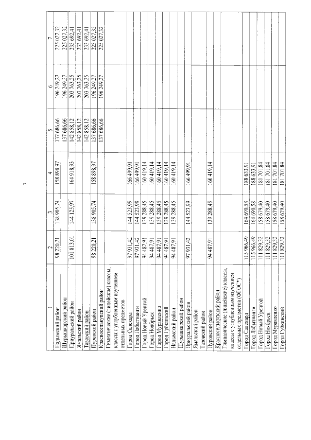
Постановление Правительства Ямало-Ненецкого автономного округа от 26.12.2018 № 1374-П
"О внесении изменений в постановление Правительства Ямало-Ненецкого автономного округа от 25 декабря 2015 года № 1299-П"
Номер опубликования: 8900201812290026
Дата опубликования: 29.12.2018
Страница №8 из 17:
Увеличить