Официальное опубликование правовых актов
ОФИЦИАЛЬНОЕ ОПУБЛИКОВАНИЕ
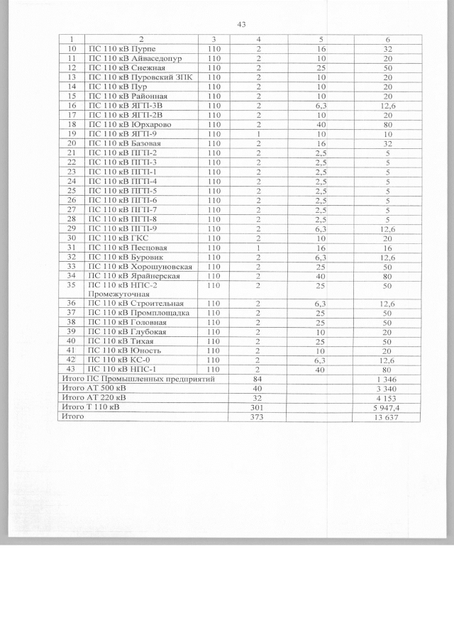
Постановление Губернатора Ямало-Ненецкого автономного округа от 28.04.2018 № 48-ПГ
"Об утверждении схемы и программы перспективного развития электроэнергетики Ямало-Ненецкого автономного округа на период 2019 – 2023 годов"
Номер опубликования: 8900201805030004
Дата опубликования: 03.05.2018
Страница №44 из 151:
Увеличить