Официальное опубликование правовых актов
ОФИЦИАЛЬНОЕ ОПУБЛИКОВАНИЕ
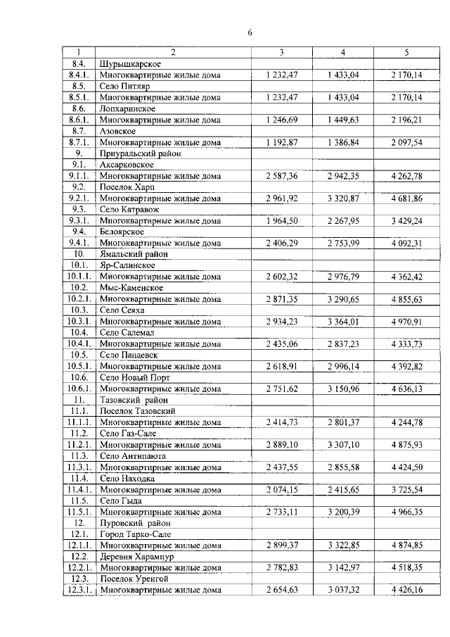
Постановление Правительства Ямало-Ненецкого автономного округа от 12.01.2017 № 11-П
"О региональных стандартах оплаты жилого помещения и коммунальных услуг по Ямало-Ненецкому автономному округу"
Номер опубликования: 8900201701190008
Дата опубликования: 19.01.2017
Страница №8 из 10:
Увеличить