Официальное опубликование правовых актов
ОФИЦИАЛЬНОЕ ОПУБЛИКОВАНИЕ
Постановление Правительства Ямало-Ненецкого автономного округа от 11.11.2016 № 1072-П
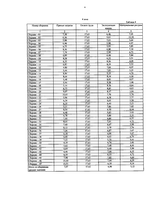
"Об утверждении предельно допустимых индексов изменения сметной стоимости строительных, монтажных и ремонтно- строительных работ и номенклатурного сборника предельных отпускных и сметных цен на строительные материалы, изделия, конструкции на IV квартал 2016 года"
Номер опубликования: 8900201611180023
Дата опубликования: 18.11.2016
Страница №6 из 1572:
Увеличить