Постановление Правительства Ямало-Ненецкого автономного округа от 07.11.2016 № 1050-П
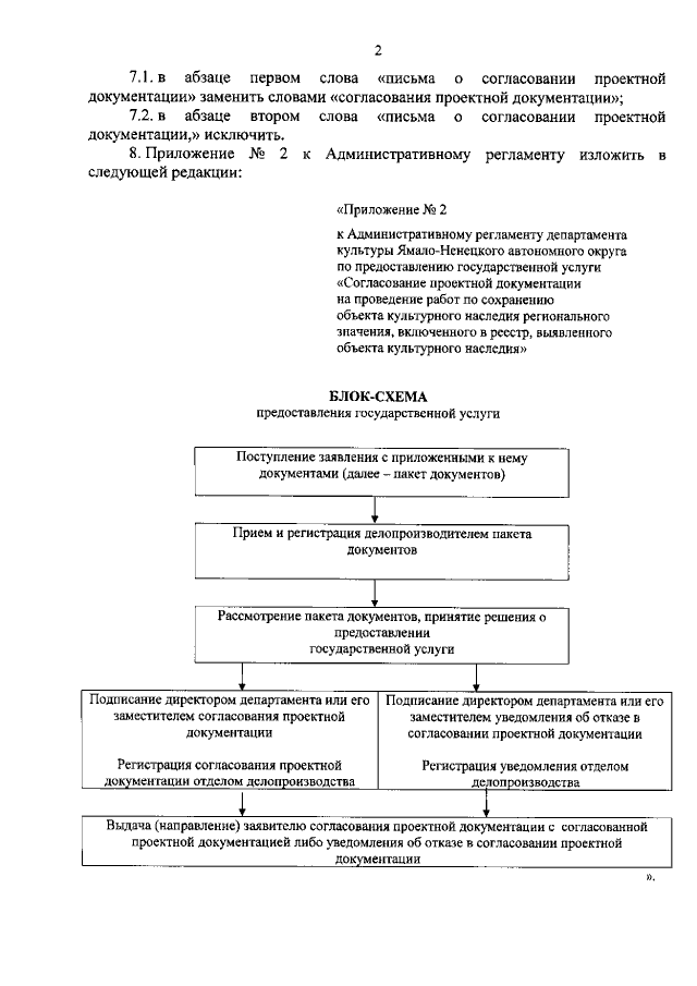
"О внесении изменений в Административный регламент департамента культуры Ямало-Ненецкого автономного округа по предоставлению государственной услуги "Согласование проектной документации на проведение работ по сохранению объекта культурного наследия регионального значения, включённого в реестр, выявленного объекта культурного наследия"
"О внесении изменений в Административный регламент департамента культуры Ямало-Ненецкого автономного округа по предоставлению государственной услуги "Согласование проектной документации на проведение работ по сохранению объекта культурного наследия регионального значения, включённого в реестр, выявленного объекта культурного наследия"
Номер опубликования: 8900201611150017
Дата опубликования:
15.11.2016
