Постановление Правительства Ямало-Ненецкого автономного округа от 29.08.2016 № 818-П
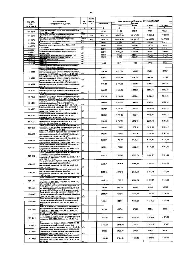
"Об утверждении предельно допустимых индексов изменения сметной стоимости строительных, монтажных и ремонтно-строительных работ и номенклатурного сборника предельных отпускных и сметных цен на строительные материалы, изделия, конструкции на III квартал 2016 года"
"Об утверждении предельно допустимых индексов изменения сметной стоимости строительных, монтажных и ремонтно-строительных работ и номенклатурного сборника предельных отпускных и сметных цен на строительные материалы, изделия, конструкции на III квартал 2016 года"
Номер опубликования: 8900201609060004
Дата опубликования:
06.09.2016
