Официальное опубликование правовых актов
ОФИЦИАЛЬНОЕ ОПУБЛИКОВАНИЕ
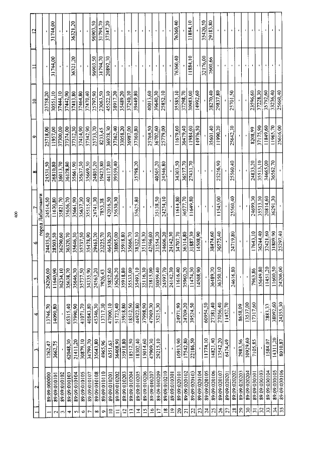
Постановление Правительства Ямало-Ненецкого автономного округа от 25.08.2016 № 806-П
"О внесении изменений в приложения №№ 1, 2, утверждённые постановлением Правительства Ямало-Ненецкого автономного округа от 26 сентября 2012 года № 799-П"
Номер опубликования: 8900201609010005
Дата опубликования: 01.09.2016
Страница №401 из 407:
Увеличить