Официальное опубликование правовых актов
ОФИЦИАЛЬНОЕ ОПУБЛИКОВАНИЕ
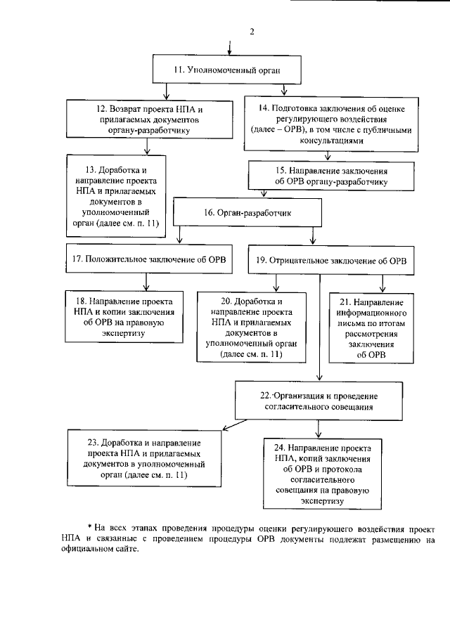
Постановление Правительства Ямало-Ненецкого автономного округа от 18.08.2016 № 794-П
"Об утверждении Порядка проведения оценки регулирующего воздействия проектов нормативных правовых актов в Ямало-Ненецком автономном округе"
Номер опубликования: 8900201608260003
Дата опубликования: 26.08.2016
Страница №35 из 35:
Увеличить