Постановление Правительства Ямало-Ненецкого автономного округа от 14.07.2016 № 672-П
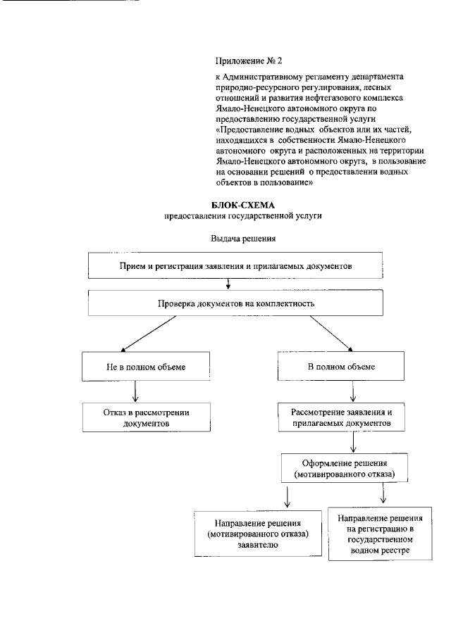
"Об утверждении Административного регламента департамента природно-ресурсного регулирования, лесных отношений и развития нефтегазового комплекса Ямало-Ненецкого автономного округа по предоставлению государственной услуги "Предоставление водных объектов или их частей, находящихся в собственности Ямало-Ненецкого автономного округа и расположенных на территории Ямало-Ненецкого автономного округа, в пользование на основании решений о предоставлении водных объектов в пользование"
"Об утверждении Административного регламента департамента природно-ресурсного регулирования, лесных отношений и развития нефтегазового комплекса Ямало-Ненецкого автономного округа по предоставлению государственной услуги "Предоставление водных объектов или их частей, находящихся в собственности Ямало-Ненецкого автономного округа и расположенных на территории Ямало-Ненецкого автономного округа, в пользование на основании решений о предоставлении водных объектов в пользование"
Номер опубликования: 8900201607220019
Дата опубликования:
22.07.2016
