Официальное опубликование правовых актов
ОФИЦИАЛЬНОЕ ОПУБЛИКОВАНИЕ
Постановление Правительства Ямало-Ненецкого автономного округа от 03.06.2016 № 497-П
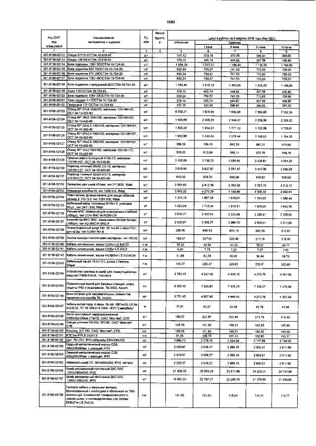
"Об утверждении предельно допустимых индексов изменения сметной стоимости строительных, монтажных и ремонтно- строительных работ и номенклатурного сборника предельных отпускных и сметных цен на строительные материалы, изделия, конструкции на II квартал 2016 года"
Номер опубликования: 8900201606100004
Дата опубликования: 10.06.2016
Страница №1696 из 1743:
Увеличить