Официальное опубликование правовых актов
ОФИЦИАЛЬНОЕ ОПУБЛИКОВАНИЕ
Постановление Правительства Ямало-Ненецкого автономного округа от 26.05.2016 № 475-П
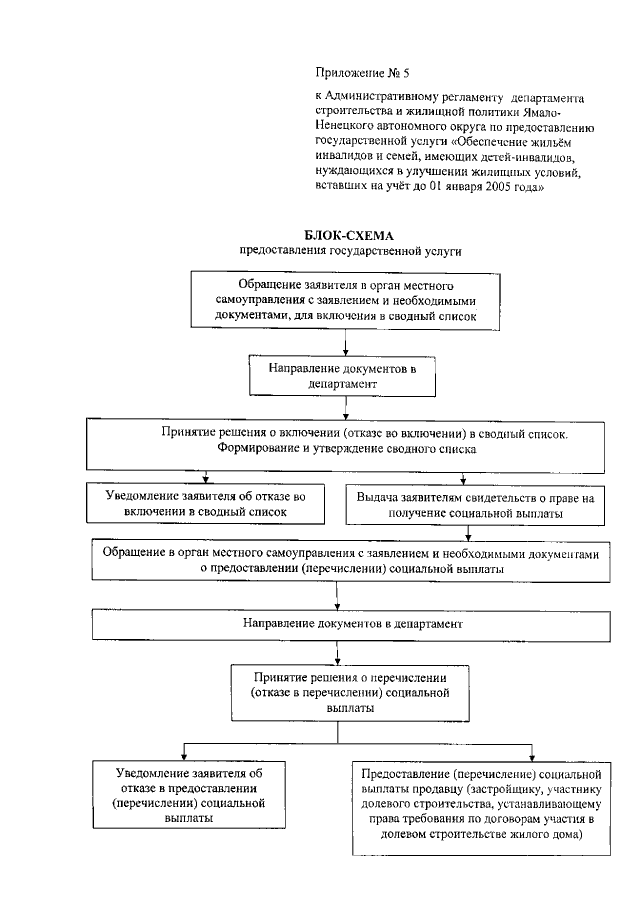
"Об утверждении Административного регламента департамента строительства и жилищной политики Ямало-Ненецкого автономного округа по предоставлению государственной услуги "Обеспечение жильём инвалидов и семей, имеющих детей-инвалидов, нуждающихся в улучшении жилищных условий, вставших на учёт до 01 января 2005 года"
Номер опубликования: 8900201606030011
Дата опубликования: 03.06.2016
Страница №36 из 36:
Увеличить