Постановление Правительства Ямало-Ненецкого автономного округа от 18.02.2016 № 112-П
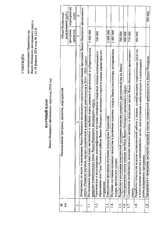
"Об утверждении научного плана Ямало-Ненецкого автономного округа на 2016 год"
"Об утверждении научного плана Ямало-Ненецкого автономного округа на 2016 год"
Номер опубликования: 8900201602250020
Дата опубликования:
25.02.2016
