Постановление Правительства Ямало-Ненецкого автономного округа от 03.12.2015 № 1147-П
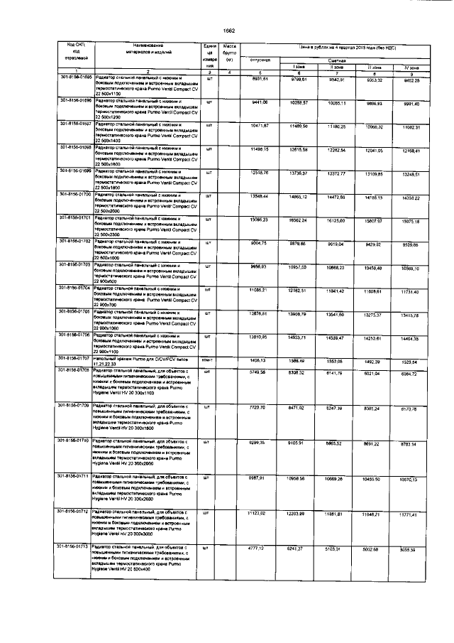
"Об утверждении предельно допустимых индексов изменения сметной стоимости строительных, монтажных и ремонтно-строительных работ и номенклатурного сборника предельных отпускных и сметных цен на строительные материалы, изделия, конструкции на IV квартал 2015 года"
"Об утверждении предельно допустимых индексов изменения сметной стоимости строительных, монтажных и ремонтно-строительных работ и номенклатурного сборника предельных отпускных и сметных цен на строительные материалы, изделия, конструкции на IV квартал 2015 года"
Номер опубликования: 8900201512100007
Дата опубликования:
10.12.2015
