Постановление Губернатора Ямало-Ненецкого автономного округа от 29.10.2015 № 176-ПГ
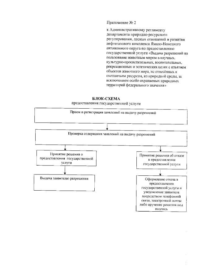
"Об утверждении Административного регламента департамента природно-ресурсного регулирования, лесных отношений и развития нефтегазового комплекса Ямало-Ненецкого автономного округа по предоставлению государственной услуги "Выдача разрешений на пользование животным миром в научных, культурно- просветительных, воспитательных, рекреационных и эстетических целях с изъятием объектов животного мира, не отнесённых к охотничьим ресурсам, из природной среды, за исключением особо охраняемых природных территорий федерального значения"
"Об утверждении Административного регламента департамента природно-ресурсного регулирования, лесных отношений и развития нефтегазового комплекса Ямало-Ненецкого автономного округа по предоставлению государственной услуги "Выдача разрешений на пользование животным миром в научных, культурно- просветительных, воспитательных, рекреационных и эстетических целях с изъятием объектов животного мира, не отнесённых к охотничьим ресурсам, из природной среды, за исключением особо охраняемых природных территорий федерального значения"
Номер опубликования: 8900201511060024
Дата опубликования:
06.11.2015
