Постановление Правительства Ямало-Ненецкого автономного округа от 08.09.2015 № 841-П
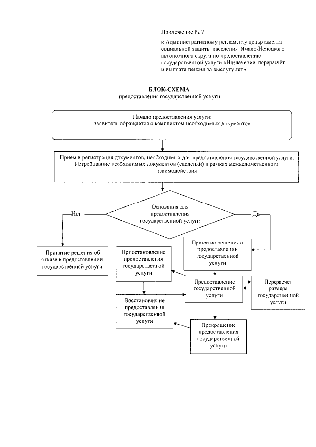
"Об утверждении Административного регламента департамента социальной защиты населения Ямало-Ненецкого автономного округа по предоставлению государственной услуги "Назначение, перерасчёт и выплата пенсии за выслугу лет"
"Об утверждении Административного регламента департамента социальной защиты населения Ямало-Ненецкого автономного округа по предоставлению государственной услуги "Назначение, перерасчёт и выплата пенсии за выслугу лет"
Номер опубликования: 8900201509150007
Дата опубликования:
15.09.2015
