Официальное опубликование правовых актов
ОФИЦИАЛЬНОЕ ОПУБЛИКОВАНИЕ
Распоряжение Правительства Ямало-Ненецкого автономного округа от 20.08.2015 № 557-РП
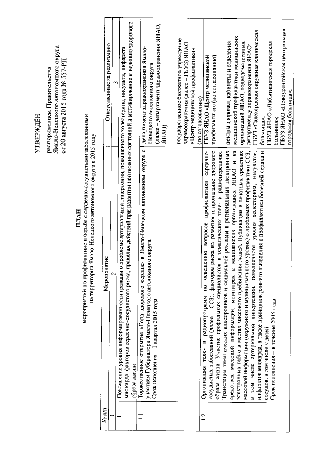
"Об утверждении плана мероприятий по профилактике и борьбе с сердечно-сосудистыми заболеваниями на территории Ямало-Ненецкого автономного округа в 2015 году"
Номер опубликования: 8900201508270014
Дата опубликования: 27.08.2015
Страница №3 из 13:
Увеличить