Официальное опубликование правовых актов
ОФИЦИАЛЬНОЕ ОПУБЛИКОВАНИЕ
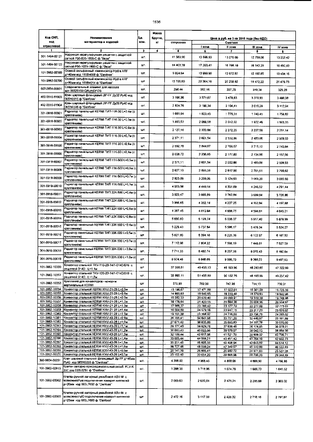
Постановление Правительства Ямало-Ненецкого автономного округа от 17.08.2015 № 770-П
"Об утверждении предельно допустимых индексов изменения сметной стоимости строительных, монтажных и ремонтно-строительных работ и номенклатурного сборника предельных отпускных и сметных цен на строительные материалы, изделия, конструкции на III квартал 2015 года"
Номер опубликования: 8900201508240002
Дата опубликования: 24.08.2015
Страница №1553 из 1636:
Увеличить