Официальное опубликование правовых актов
ОФИЦИАЛЬНОЕ ОПУБЛИКОВАНИЕ
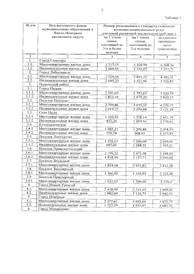
Постановление Правительства Ямало-Ненецкого автономного округа от 17.07.2015 № 639-П
"О внесении изменений в постановление Правительства Ямало-Ненецкого автономного округа от 29 декабря 2014 года № 1102-П"
Номер опубликования: 8900201507240032
Дата опубликования: 24.07.2015
Страница №3 из 10:
Увеличить