Постановление Правительства Ямало-Ненецкого автономного округа от 09.07.2015 № 625-П
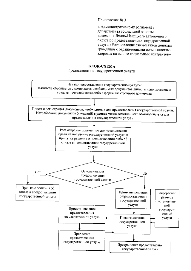
"Об утверждении Административного регламента департамента социальной защиты населения Ямало-Ненецкого автономного округа по предоставлению государственной услуги "Установление ежемесячной доплаты гражданам с ограниченными возможностями здоровья на основе социальных контрактов"
"Об утверждении Административного регламента департамента социальной защиты населения Ямало-Ненецкого автономного округа по предоставлению государственной услуги "Установление ежемесячной доплаты гражданам с ограниченными возможностями здоровья на основе социальных контрактов"
Номер опубликования: 8900201507150003
Дата опубликования:
15.07.2015
