Официальное опубликование правовых актов
ОФИЦИАЛЬНОЕ ОПУБЛИКОВАНИЕ
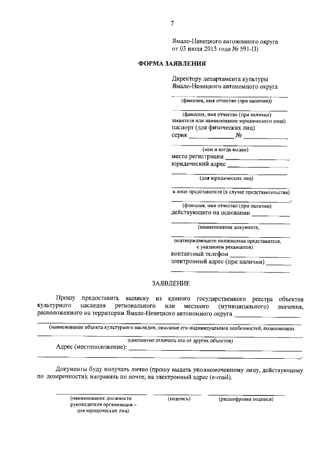
Постановление Правительства Ямало-Ненецкого автономного округа от 03.07.2015 № 591-П
"О внесении изменений в некоторые постановления Правительства Ямало-Ненецкого автономного округа"
Номер опубликования: 8900201507100004
Дата опубликования: 10.07.2015
Страница №8 из 26:
Увеличить