Постановление Правительства Ямало-Ненецкого автономного округа от 15.05.2015 № 438-П
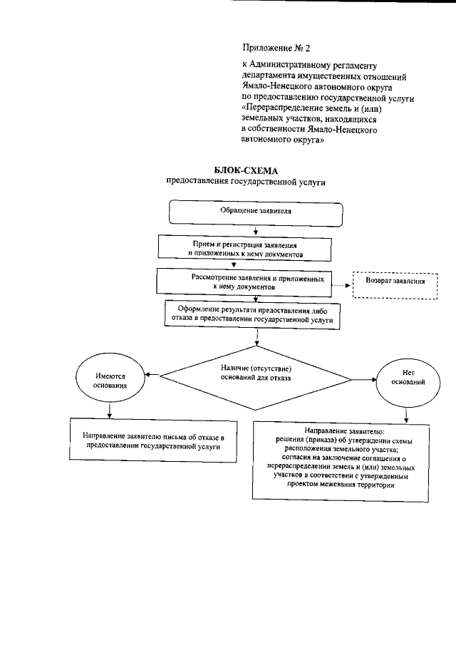
"Об утверждении Административного регламента департамента имущественных отношений Ямало-Ненецкого автономного округа по предоставлению государственной услуги "Перераспределение земель и (или) земельных участков, находящихся в собственности Ямало-Ненецкого автономного округа"
"Об утверждении Административного регламента департамента имущественных отношений Ямало-Ненецкого автономного округа по предоставлению государственной услуги "Перераспределение земель и (или) земельных участков, находящихся в собственности Ямало-Ненецкого автономного округа"
Номер опубликования: 8900201505210018
Дата опубликования:
21.05.2015
