Официальное опубликование правовых актов
ОФИЦИАЛЬНОЕ ОПУБЛИКОВАНИЕ
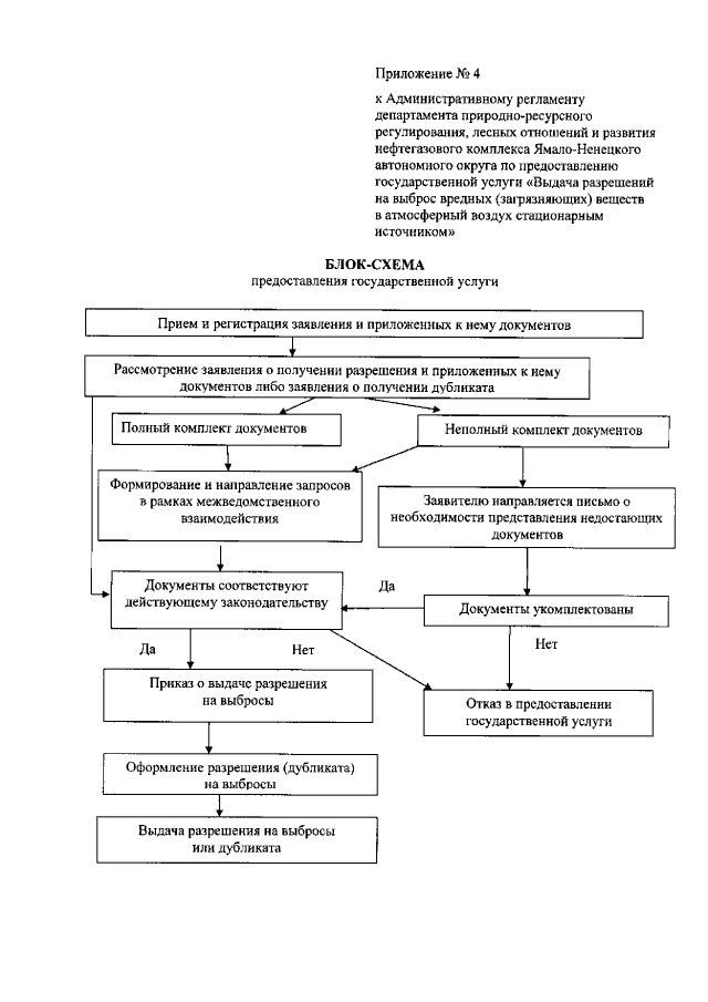
Постановление Правительства Ямало-Ненецкого автономного округа от 24.04.2015 № 351-П
"Об утверждении Административного регламента департамента природно-ресурсного регулирования, лесных отношений и развития нефтегазового комплекса Ямало-Ненецкого автономного округа по предоставлению государственной услуги "Выдача разрешений на выброс вредных (загрязняющих) веществ в атмосферный воздух стационарным источником"
Номер опубликования: 8900201504290021
Дата опубликования: 29.04.2015
Страница №24 из 32:
Увеличить