Официальное опубликование правовых актов
ОФИЦИАЛЬНОЕ ОПУБЛИКОВАНИЕ
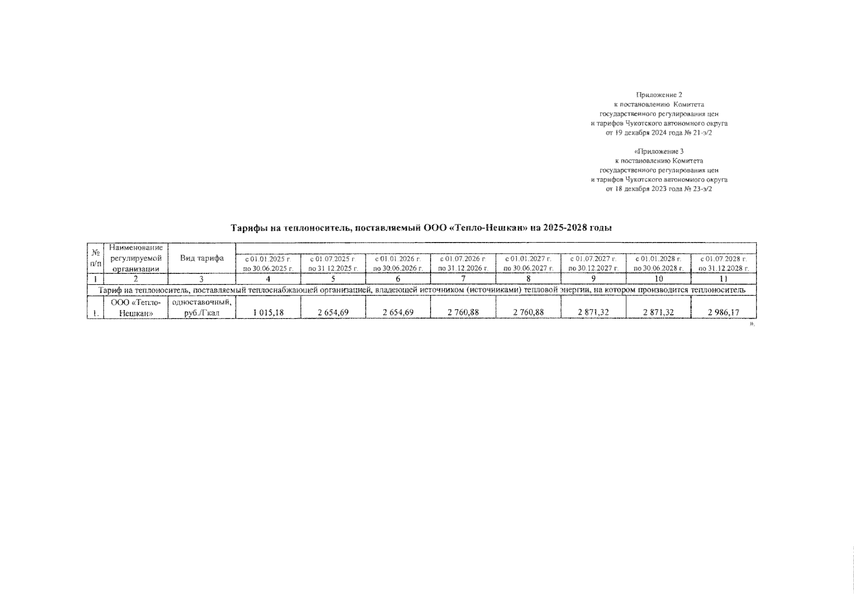
Постановление Комитета государственного регулирования цен и тарифов Чукотского автономного округа от 19.12.2024 № 21-э/2
"О внесении изменений в постановление Комитета государственного регулирования цен и тарифов Чукотского автономного округа от 18 декабря 2023 года № 23-э/2"
Номер опубликования: 8701202412250001
Дата опубликования: 25.12.2024
Страница №3 из 3:
Увеличить