Официальное опубликование правовых актов
ОФИЦИАЛЬНОЕ ОПУБЛИКОВАНИЕ
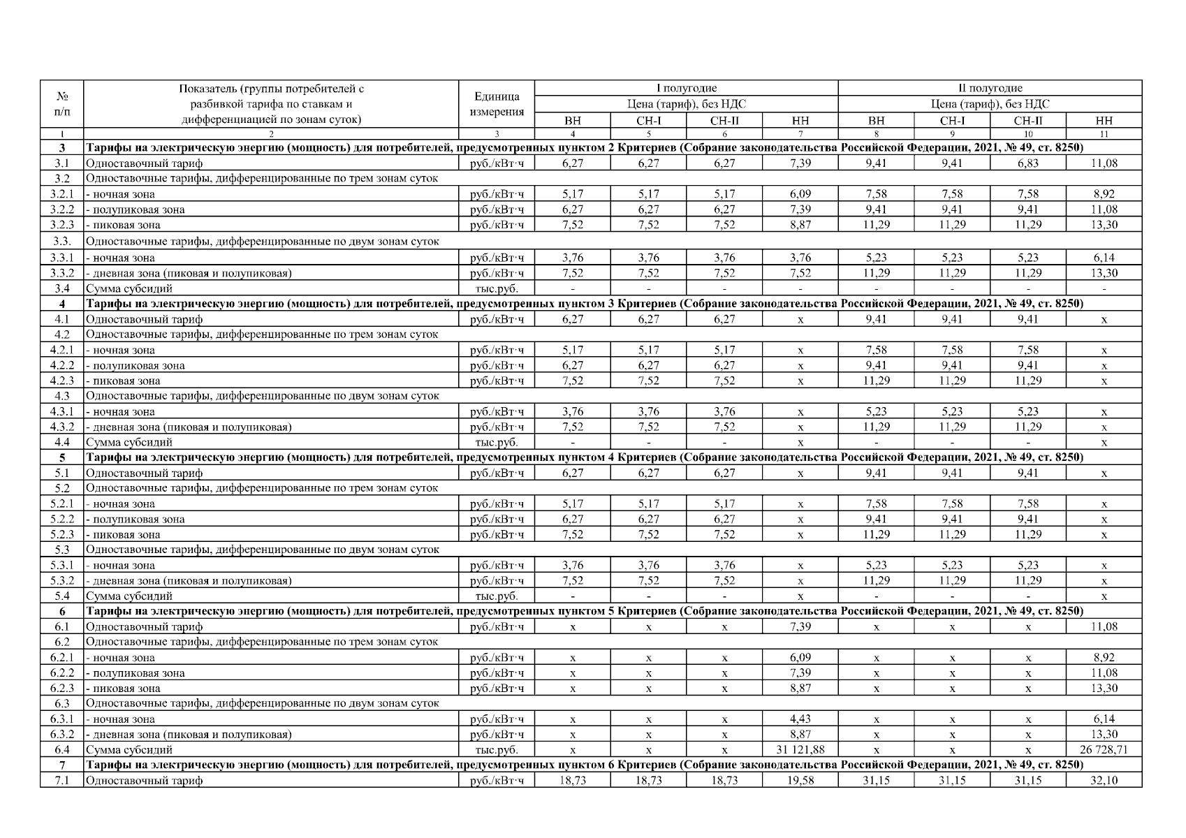
Постановление Комитета государственного регулирования цен и тарифов Чукотского автономного округа от 22.03.2024 № 4-э/4
"О внесении изменений в постановление Комитета государственного регулирования цен и тарифов Чукотского автономного округа от 15 декабря 2023 года № 21-э/7"
Номер опубликования: 8701202403270005
Дата опубликования: 27.03.2024
Страница №6 из 16:
Увеличить