Официальное опубликование правовых актов
ОФИЦИАЛЬНОЕ ОПУБЛИКОВАНИЕ
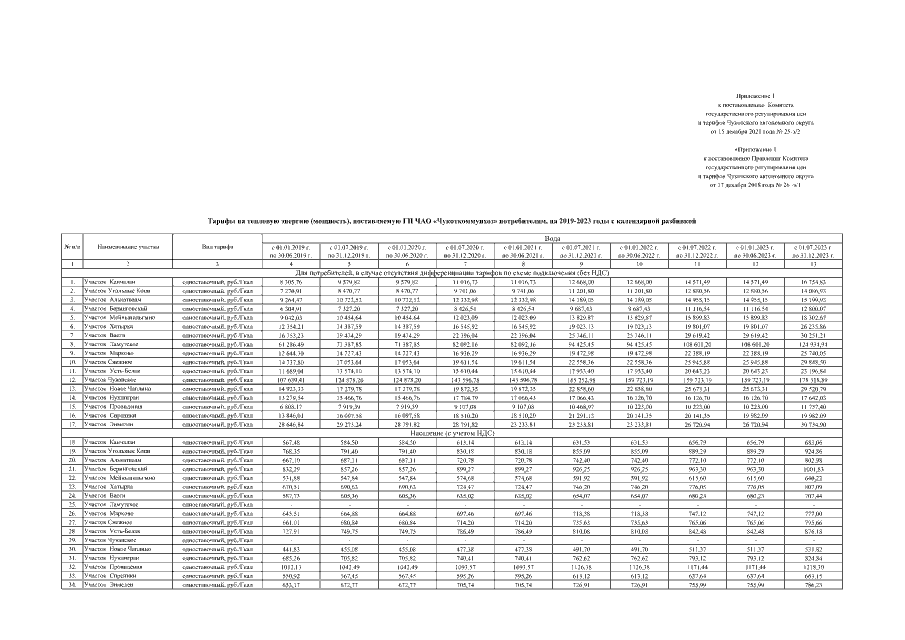
Постановление Комитета государственного регулирования цен и тарифов Чукотского автономного округа от 15.12.2021 № 25-э/2
"О внесении изменений в постановления Правления Комитета государственного регулирования цен и тарифов Чукотского автономного округа от 17 декабря 2018 года № 26-э/1, от 17 декабря 2018 года № 26-э/4"
Номер опубликования: 8701202112200015
Дата опубликования: 20.12.2021
Страница №3 из 7:
Увеличить