Официальное опубликование правовых актов
ОФИЦИАЛЬНОЕ ОПУБЛИКОВАНИЕ
Приказ Департамента сельского хозяйства и продовольствия Чукотского автономного округа от 26.09.2019 № 10
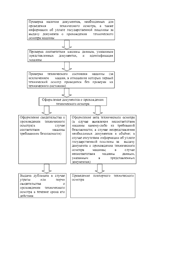
"Об утверждении Административного регламента Департамента сельского хозяйства и продовольствия Чукотского автономного округа по предоставлению государственной услуги "Проведение государственных технических осмотров самоходных машин и других видов техники"
Номер опубликования: 8701201909270004
Дата опубликования: 27.09.2019
Страница №24 из 28:
Увеличить