Официальное опубликование правовых актов
ОФИЦИАЛЬНОЕ ОПУБЛИКОВАНИЕ
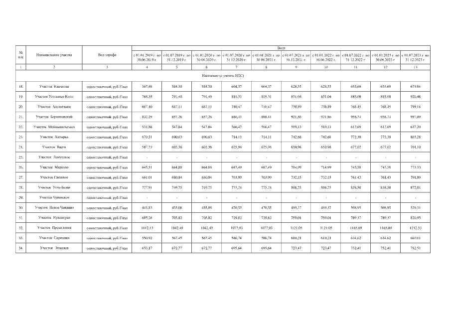
Постановление Правления Комитета государственного регулирования цен и тарифов Чукотского автономного округа от 17.12.2018 № 26-э/1
"Об установлении тарифов в сфере теплоснабжения ГП ЧАО "Чукоткоммунхоз" на 2019-2023 годы"
Номер опубликования: 8701201812200001
Дата опубликования: 20.12.2018
Страница №4 из 10:
Увеличить