Официальное опубликование правовых актов
ОФИЦИАЛЬНОЕ ОПУБЛИКОВАНИЕ
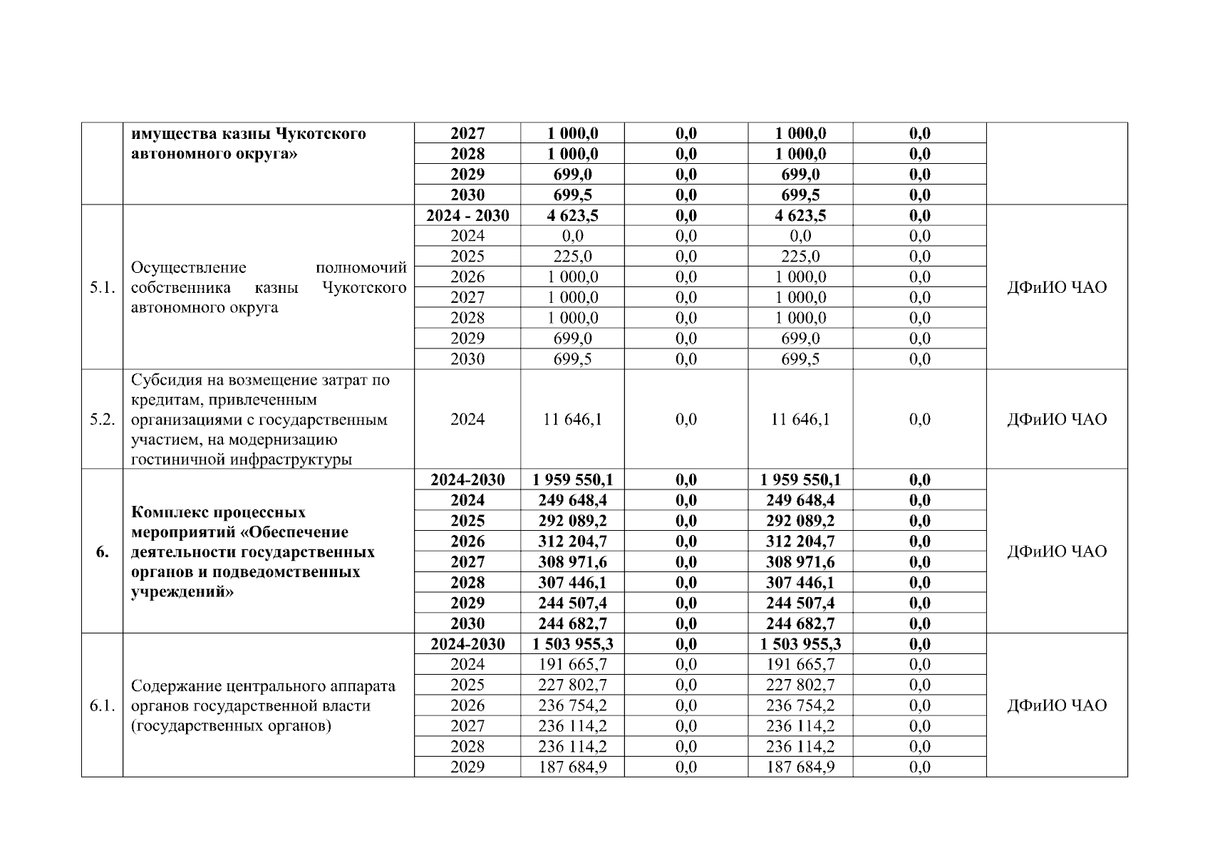
Постановление Правительства Чукотского автономного округа от 09.02.2026 № 29
"О внесении изменения в Приложение к Постановлению Правительства Чукотского автономного округа от 18 декабря 2023 года № 468"
Номер опубликования: 8700202602090003
Дата опубликования: 09.02.2026
Страница №6 из 11:
Увеличить