Официальное опубликование правовых актов
ОФИЦИАЛЬНОЕ ОПУБЛИКОВАНИЕ
Постановление Правительства Чукотского автономного округа от 08.12.2025 № 624
"О внесении изменений в Приложение к Постановлению Правительства Чукотского автономного округа от 28 декабря 2024 года № 531"
Номер опубликования: 8700202512090009
Дата опубликования: 09.12.2025
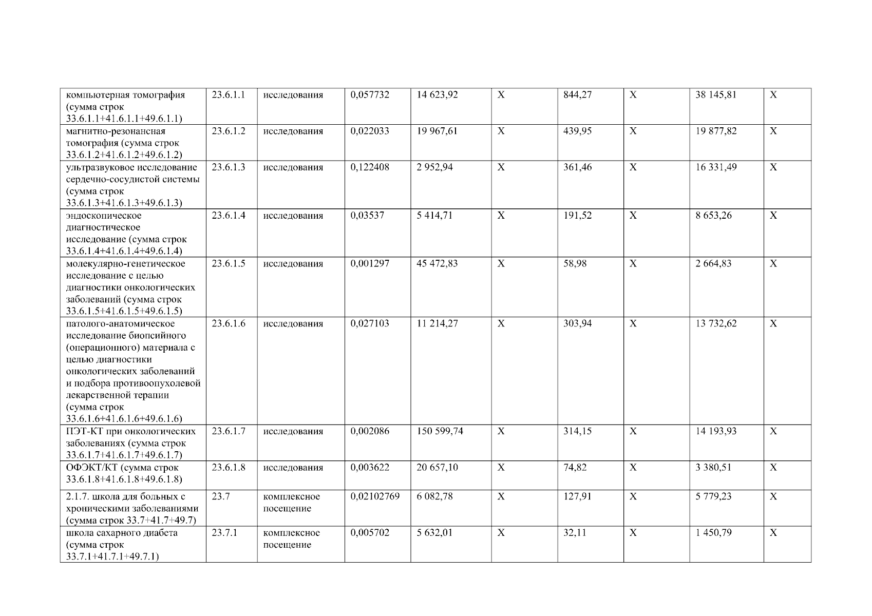
Страница №23 из 85:
Увеличить