Официальное опубликование правовых актов
ОФИЦИАЛЬНОЕ ОПУБЛИКОВАНИЕ
Постановление Правительства Чукотского автономного округа от 03.10.2025 № 574
"О внесении изменений в Постановление Правительства Чукотского автономного округа от 29 декабря 2023 года № 540"
Номер опубликования: 8700202510090001
Дата опубликования: 09.10.2025
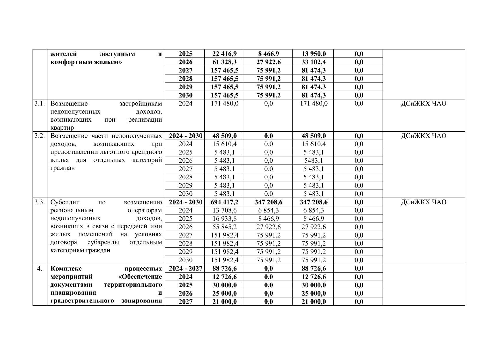
Страница №11 из 32:
Увеличить