Официальное опубликование правовых актов
ОФИЦИАЛЬНОЕ ОПУБЛИКОВАНИЕ
Постановление Правительства Чукотского автономного округа от 21.07.2025 № 430
"О внесении изменения в Постановление Правительства Чукотского автономного округа от 6 мая 2024 года № 166"
Номер опубликования: 8700202507230008
Дата опубликования: 23.07.2025
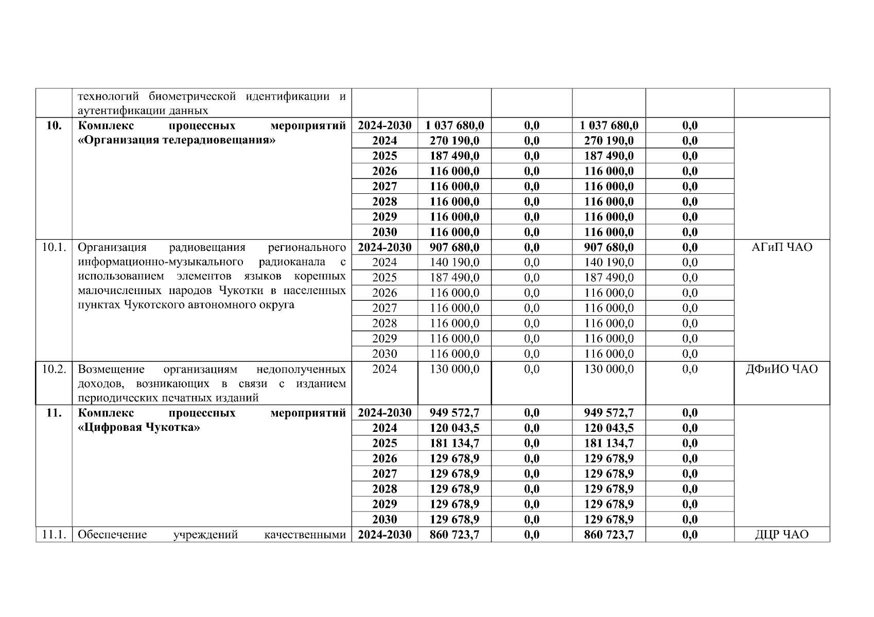
Страница №14 из 43:
Увеличить