Официальное опубликование правовых актов
ОФИЦИАЛЬНОЕ ОПУБЛИКОВАНИЕ
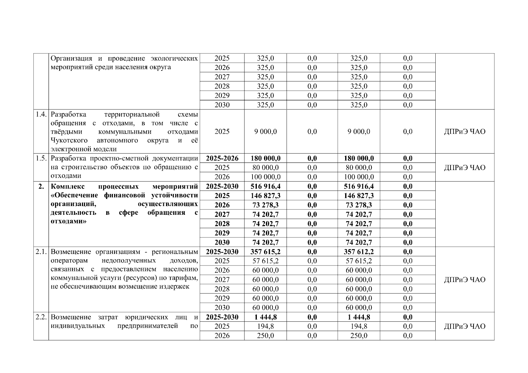
Постановление Правительства Чукотского автономного округа от 07.07.2025 № 392
"О внесении изменений в Постановление Правительства Чукотского автономного округа от 17 января 2025 года № 12"
Номер опубликования: 8700202507080014
Дата опубликования: 08.07.2025
Страница №5 из 13:
Увеличить